TOP
回首頁
服務說明
加入平台
登入
最愛
新娘祕書
窈窕美體
紋眉
養生舒壓
臉部活顏
最新流行
足部按摩
植物芳療
美睫
美甲
美容護膚
美髮
店家
優惠與公告
美麗知識
活動
工作機會
加入平台
新娘祕書
窈窕美體
紋眉
養生舒壓
臉部活顏
最新流行
足部按摩
植物芳療
美睫
美甲
美容護膚
美髮
店家
優惠與公告
活動
工作機會
加入平台
首頁
我要留言
我要留言
Message
我要留言
*必填
*
詢問項目
2026 蝶谷巴特版畫文化創作課程教學
*
姓 名
連絡信箱
*
連絡電話
傳 真
*
內容
*
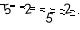
輸入驗證碼
(
更換
)